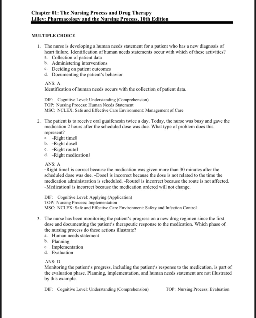
1
/
of
5
Test Bank Pharmacology and the Nursing Process 10th Edition by Lilley
Test Bank Pharmacology and the Nursing Process 10th Edition by Lilley
Regular price
$15.99 USD
Regular price
$19.99 USD
Sale price
$15.99 USD
Unit price
/
per
13 reviews


🔥 All Items 20% OFF!
Couldn't load pickup availability
This test bank supports the 10th edition of Pharmacology and the Nursing Process by Lilley. It offers a comprehensive set of practice questions designed to help nursing students understand and apply pharmacologic principles through the lens of the nursing process.
Key topics include:
• Drug classifications and therapeutic use
• Safe and effective medication administration
• Pharmacokinetics and pharmacodynamics
• Nursing responsibilities and patient teaching
• Application of the nursing process to drug therapy
• Legal and ethical considerations in pharmacology
This test bank is ideal for nursing students enrolled in pharmacology courses or preparing for NCLEX, HESI, or other clinical exams.
Includes:
• Multiple-choice and scenario-based questions
• Content aligned with the 10th edition textbook
J
Joan Everything was good
L
Lily G. Glad I got this, very helpful!
M
Mark L. Simple and effective resource.
D
Daniel R. No problems
O
Olivia K. Made studying pharmacology easier




